春日井市高蔵寺の学習塾 西村セミナールーム 高校受験も中学受験もお任せ下さい
指導コラム
解答単位量完全マスター 小6
 
単位量完全マスター」の解答です。
 
「問題1」
問題1
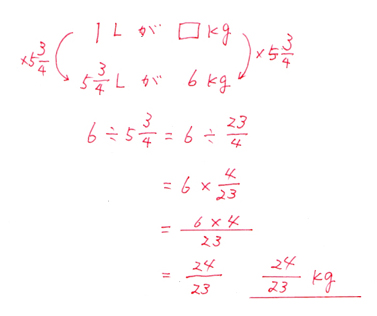
回答1
 
「問題2」
問題2
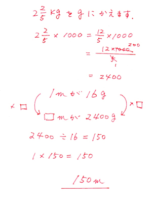
回答2
 
「問題3」
問題3
回答3
 
「問題4」
問題4
回答4
 
「問題5」
問題5
回答5
 
「問題6」
問題6
回答6
 
「問題7」
問題7
回答7
 
「問題8」
問題8
回答8
 
「問題9」
問題9
回答9
 
「問題10」
問題10
回答10
 
問題単位量完全マスター 小6
解説単位量 小5
>> 指導コラム一覧に戻る
 
 
リンク更新履歴サイトマップ
春日井市高蔵寺の学習塾 西村セミナールーム
教室 〒487-0016 春日井市高蔵寺町北4-1-15 高蔵寺ファーストビル405号室
事務所 〒487-0011 春日井市中央台8-2-2 リバピア5-104
  TEL/FAX:0568-91-3416 メール:info@nishimura-juku.com
学習塾(春日井)へのアクセスマップ